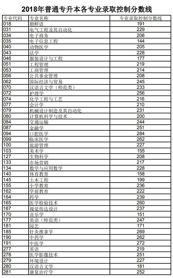
山东2018年普通专升本各专业录取控制分数线公布
齐鲁网5月21日讯 省教育厅最新消息!山东2018年普通专升本各专业录取控制分数线今天公布了。一起来看一下。


闪电新闻记者 张洪波
山东2018年普通专升本各专业录取控制分数线公布
齐鲁网5月21日讯 省教育厅最新消息!山东2018年普通专升本各专业录取控制分数线今天公布了。一起来看一下。


闪电新闻记者 张洪波
亚吉铁路 亚吉铁路是由中企承建并运营的非洲第一条跨国电气化铁路,自2018年正式运营以来,运输服务项目不断丰富,运输收入保持高速增长。 新华社发 《光明日报》( 2022年09月2...
清秀脱俗冷美人!李若彤旧照曝光 笑容甜美灵气十足 近日,一组李若彤20多岁时的旧照曝光。照片中她身穿条纹帽衫,一头短发飒爽干练,笑容甜美,灵气十足。...
赵丽颖的一些稚嫩旧照 赵丽颖刚出道时的稚嫩脸庞,不知道那时的她会不会想到自己可以拥有如今的成就!...
2018年国内生产总值900309亿元,增长6.6% 【2018年国内生产总值900309亿元,增长6.6%】国家统计局数据显示,初步核算,2018年全年国内生产总值900309亿元,按可比价格计算,比上年增长6.6...
【权威发布】山阳县人民检察院依法对汪裕仓决定逮捕 陕西省商南县原县委常委、统战部部长汪裕仓(副县级)涉嫌受贿罪一案,由商洛市监察委员会调查终结,移送检察机关审查起诉...
be free of 和 be free from 大部分情况下,两者可互换。相比之下,be free from 表示免除或摆脱时,多指一些不好的东西。 be free of charge/cost/expense 免费 be free of debts 没有债务 be free of rent 免租...
苏州市气象台升级发布暴雨红色预警 苏州市气象台2024年09月16日14时24分升级发布暴雨红色预警信号:受第13号台风“贝碧嘉”影响,预计16日下午到上半夜我市大暴雨将持续,局部累计...
过中国节 传中国情 为了传承中国节日文化精髓,让儿时熟悉的年味再次呈现,近日,东胜区第二幼儿园中班组的老师们策划了以“做中国人,过中国节,传中国情,圆中国梦”为主题...
事业工勤编职称为技师是什么级别 事业工勤编技师属于工勤技能二级。 在事业工勤岗位等级中,从低到高分为普通工、初级工、中级工、高级工、技师(工勤技能二级)、高级技师(...
2018年惠州市直普通高中学校录取分数线出炉 金羊网讯 7月5日,惠州市教育局公布了2018年提前批与市区第一批普通高中学校录取分数线。其中,在提前批的惠州一中录取分数是 626.3分(...
原来鸟人是真的!“鸟为食亡”,有图有真相! “人为财死鸟为食亡”,但是,偏偏有人为了吃外卖而搭上了小命,不折不扣的鸟人! 原来鸟人是真的!“鸟为食亡”,有图有真相!...
江西赣州客车侧翻致11死20伤 5人被刑拘 昨天,江西赣州一中型客车(核载19人,实载31人)发生侧翻,致11人死亡,20人受伤。经取证调查,目前,包括渉事企业法人代表杨长海在内的...
兰州牛肉面计划申遗 近日,全国人大代表、兰州牛肉拉面会长马利民表示,目前兰州有关部门正在协调,计划今年将百年美食兰州牛肉面申遗。他还提出要将“牛肉面”纳入国家高等职...
澧县一中、二中、六中、职中录取分数线公布(附成绩分段统计表) 澧县第一中学2023年新生录取划线分数:781.5分 澧县第二中学2023年新生录取划线分数:700分 澧县第六中学2023年新生...
18日上午9点企鹅体育直播女排世俱杯(科内利亚诺—宁平银行) 2024年女排世俱杯B组今天上午(意大利科内利亚诺女排——越南宁平邮政银行女排)。在昨天第一轮比赛中,科内利亚诺...
韩国蔚山市一工厂发生储油罐爆炸事故 当地时间10日11时15分左右,韩国东南部蔚山市蔚州郡的一家工厂发生了储油罐爆炸事故, 造成1人受伤。另有一名失踪人员被找到后处于昏迷状态...
外地的姑娘们嫁人千万不要嫁给河南人,因为嫁到河南真的不... 外地的姑娘们注意啦! 嫁人千万不要嫁给河南人,要不然你的下场就跟我一样。 因为在河南这边是没有山的,全是一望...
插画集‖国风慎独、归真壁纸...
【法治社会】小伙额头纹二郎神同款天眼 近日,云南昭通一名19岁小伙因寻衅滋事上法庭受审,其额头上的“天眼”纹身引起法警注意。原来,因朋友称纹“天眼”很时尚,这个小伙就...
辽宁春晚时间节目安排,辽沈春晚定档于腊月二十九正式播出 来自辽宁卫视 2024辽宁卫视春晚时间定档于腊月二十九正式首播 据辽宁卫视官方的消息,2024辽沈春晚或者辽宁卫视春晚定...