三种方法推导 圆的面积公式 - 微积分应用
本文通过3种方法推导出圆的面积公式。
其中2种用到了微积分

第一种:几何切割法(微分思想)
1)过圆心将圆无限切割成上下2块锯齿状图形

2)将2块锯齿状图形合并成一个长方形



3)圆面积=长方形面积

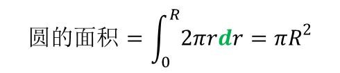
第二种:圆环分割微积分法(参考3blue1brown视频)
1)将半径为R的圆切割成很多厚度为dr的圆环

圆环
2)任取一圆环分析。
假设从大圆圆心到圆环长度为r,
当dr趋近于0时,将圆环展开后的图形近似为一个长方形。
如下图:

任取一圆环分析
3)将所有的圆环展开,得到类似下图:


利用积分形式同样可得到:

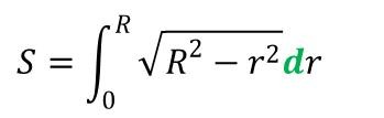
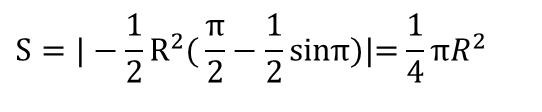
第三种:切片分割微积分法
1)将圆无限分割成厚度为dr的薄片

2)分析其中任意一张薄片AB(位于 4分之1圆 内):

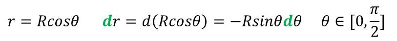
假设 圆的半径为 R,圆心到薄片的距离为r,薄片的厚度为dr,角度为θ
则薄片的面积:


等价于积分形式:

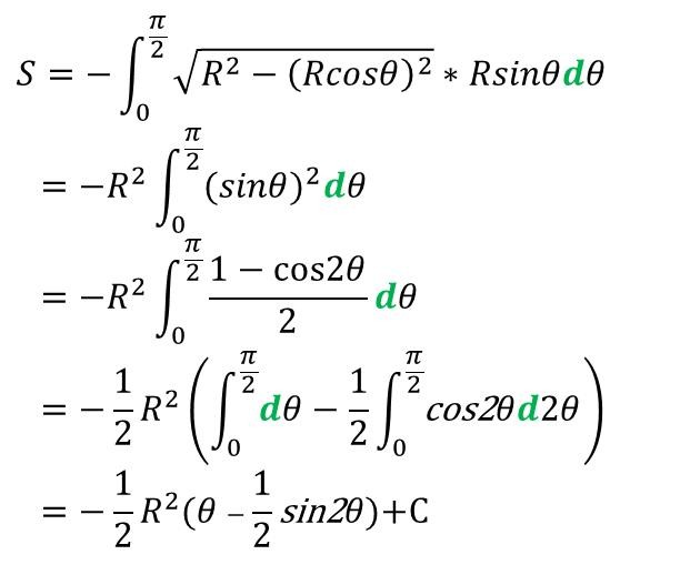
这种积分形式比较难以求解,采用换元法求解:

代入上式:



得到圆的面积:

本文原创,未经允许,请勿复制转载。
标签:
135
留兰香和薄荷你分得清吗?有可能你之前吃的薄荷,其实是留兰香! 乡间无闲草,识得全是宝。今天带大家一起来认识的植物是留兰香。 留兰香,别名绿薄荷,香花菜,香薄荷,青薄...
153
镧系元素 镧系元素 lanthanide,lanthanoid 定义:元素周期表中第57至71号元素。即由镧至镥共15个元素的总称。以Ln表示。价层电子构型为4f0~145d0~26s2,属内过渡元素;也有把不含4f电子的镧...
193
csgo一直显示正在连接到csgo网络怎么办?三招帮你解决 CSGO是一款射击类的游戏,它的全名叫反恐精英:全球攻势,是一款由VALVE与Hidden Path Entertainment合作开发、Valve Software发行的第一人...
81
2020除夕是几月几日农历时间 除夕是星期几哪一天 除夕,指的是农历年的最后一天,具体时间是腊月三十(或腊月二十九),是中国最为重要的传统节日。在这一天里,各家各户都要准...
171
1998年印尼排华事件,1998年印尼排华事件始末 1998年印尼排华事件是指1998年5月13日至16日,印度尼西亚暴徒发动了一系列针对华裔社群的大屠杀,史称“黑色五月暴动”。 1998年5月13日,...
90
谢娜自创品牌遭吐槽“欢型”之后又闹“娜样” 来源:申江服务导报 谢娜的个人品牌“娜样NaYoung”再登上海时装周,她邀请了圈内好友出席上海时装周的发布秀,何炅、陈乔恩、奚梦瑶...
62
实拍缅甸果敢现状,以前说中文用人民币的地方已经都被缅文替代了 对于我们现在的中国人来说,对于果敢这个地方可能比较陌生,果敢位于缅甸跟中国的交界,与我国的云南接近。不...
53
盘点百家姓之卢姓 本期,波叔来为大家简单介绍一下当今百家姓上排名第四十二位的卢姓。 卢姓,是一个典型的多民族、多源流姓氏,主要源自姜姓、姬姓以及少数民族改姓等。其得...
164
排名落后 1083 名!韩国又石大学却给河北经贸一次性培养了 21 名博士 近日,关于“水博士”的话题持续发酵。网友还发现河北教育网在2021年曾报道,韩国又石大学曾一次性为河北经贸...
164
登上平安大厦云际观光层,犹如抵临云霄,深港美景尽收眼底 平安大厦(平安金融中心)位于深圳市福田区益田路5033号,是目前位列世界第四、中国第二、华南和深圳第一的新地标式...
104
K560次列车由上海至延安,绕行徐州、西安 列车15:52从上海站出发,次日16:32到达终点站延安站,中间一共停靠17个站点(详情见表)。全程1835公里,运行时长为24小时40分钟。列车由西安...
131
想要把你留在这里,年少转身成芳华 视频加载中... 嘻哈歌曲《想把你留在这里》作为《芳华》电影的推广区,或许有些意料之外,毕竟这部有冯小刚导演执导的《芳华》讲述的是上个...
114
中东世界遗产丨佩特拉 佩特拉是约旦著名古城遗址,位于约旦南部,距离首都安曼约260公里,隐藏在死海和亚喀巴湾之间的深山峡谷中,古时曾是地区重要贸易中心。佩特拉古城入口是...
66
张译直言不再跟张颂文合作,说出原因导演牙都笑掉,表示很理解! 张译直言再不跟张颂文合作,说出原因导演牙都笑掉,表示很理解! 近日,张译在接受采访时直言再不与张颂文合...
138
熊出没:美颜相机下主角的真实年龄,纳雅6岁,光头强这么年轻? 《熊出没》是非常好看的国漫,在子供向的作品中也是非常出色,和《喜羊羊与灰太狼》比起来,熊出没几乎每年都...
76
师改旅后,解放军的旅级单位大幅增加,但正师级单位仍有不少! 标题:深度解析:解放军正师级单位的现状与军改中的变革 嗨,大家好!今天我们来聊一聊那些在电视上经常能看到...
156
没想到,成亲王虽没当成皇帝,但他的书法比父亲乾隆皇帝强多了! 在清朝的历史长河中,乾隆皇帝的儿子们无疑都承载着皇位的期望与压力。然而,在众多皇子中,有一位名叫永瑆的...
121
20张晚清色彩老照片:小妾生活不幸令人痛心,地主婆骑马出门 1、晚清一大户人家中正房与小妾。 2、一位裹着三寸金莲的地主婆,骑着家中仆人拉的马出去转悠。 3、这张照片中的女...
148
为什么生活需要仪式感 在忙碌和压力交织的现代生活中,我们常常感到焦虑和不安。这种不安源于生活的不确定性和不可得性。 而仪式感,正是我们对抗这种不安的有力武器 ,它不仅...
173
你见过的金古桥长啥样?这4个金古桥的特殊个体,见过几个? 说到金古桥,我们就想起了那个笨重的机器人,不仅被很多宇宙人利用来侵略地球,而且还拥有不可忽视的实力。别看它...