药学博士:揭穿辅酶Q10的骗术,你是如何被忽悠的?拒交智商税
辅酶Q10是保健圈中的一颗璀璨明星,被称作心脏的能量卫士。前几天,吉林有一位养生大师,打着关爱老年人健康的旗号,不仅让自己成为了“超级传播者”,还让上百位老人“来时领鸡蛋、走时领新冠”......
资深的保健品爱好者应该对辅酶Q10这个成分并不陌生,也一度被无数的养生大师所推崇。网上也有大量关于辅酶Q10的宣传和介绍,其中有事实依据、也有水分和忽悠。那么,辅酶Q10究竟是个什么成分?养生圈的骗术是如何构建的?你又是如何被忽悠的?
为了弄清楚这个问题,药学专业的@王二博士与你一起捋一捋这个明星保健成分,希望在遇到忽悠时,可以理直气壮地说不。

什么是辅酶?
生物体内进行的各种化学反应,都需要酶来催化,酶是一种大分子蛋白质。有的酶在发挥催化作用时,需要一些小分子物质的辅助,这些物质就被称为“辅酶”。

什么是辅酶Q10?
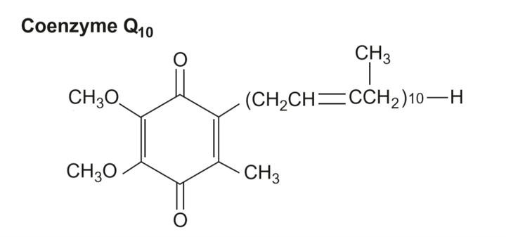
辅酶Q(Coenzyme Q),又叫泛醌(Ubiquinone,缩写UQ),是一种脂溶性的醌类化合物,在人体内可参与能量代谢。

辅酶结构式
泛醌属于醌类中的苯醌化合物,与苯醌母核相连的是由多个异戊二烯单元组成的侧链。根据来源不同,侧链长度不一样(一般为6-10个异戊二烯单元),哺乳动物体内的泛醌中含有10个异戊二烯单元(n=10),因此又叫辅酶Q10。

醌类化合物的分类

辅酶Q10结构式
就是这个“泛”
为什么叫泛醌?自然界中广泛存在醌类化合物叫泛醌。维生素B5是自然界广泛存在的一种有机酸,又叫泛酸,泛酸的前体叫泛醇,泛醇性质稳定,在体内可转化成泛酸发挥作用,在护肤界中应用广泛,是一种强效温和保湿剂。
关于泛醇的详细解析,可参考往期文章:药学博士:强效温和修复保湿剂——泛醇(维生素B5),成分分析

辅酶Q10有什么作用?
被称作“万能营养素”的CoQ10究竟有怎样的神奇功效?
(1)在细胞能力产生中起重要作用
辅酶Q10(CoQ10)可参与生物体内的氧化还原反应,是一种极好的氧化还原(电子传递)载体,具有维持体内连续氧化-还原循环的能力,并参与不同细胞过程,在为细胞提供能力的过程中起着不可替代的作用。
它就像身体的“能量工厂”,在心脏、肝脏、肾脏等高能量需求的部位含量较高。

(2)保护DNA免受氧化损伤
细胞中形成的活性氧(ROS)能破坏脂质、蛋白质和DNA,而辅酶Q10是最强大的内源性抗氧化剂之一,可以通过清除自由基发挥抗氧化作用。另一方面,辅酶Q10还可激活DNA修复酶的活性。

辅酶Q10不仅是保健品,也是被国家食品药品监督管理局(CFDA)和美国FDA批准的药品,用于心脏病等疾病治疗的辅助药物。
正是因为如此,辅酶Q10在保健行业备受热捧,根据商家的宣传,不仅可用于预防和治疗心脏疾病,还能增强免疫力、改善微循环、对抗衰老、延年益寿、提高精子活力、改善卵子质量等。

辅酶Q10真的有这么万能吗?
虽然目前关于辅酶Q10的研究方向很多,在很多方面都有比较积极的作用,比如对心血管系统和免疫系统的帮助。但是,需要注意的是,辅酶Q10是保健药物及“辅助治疗”的药物,而不是治疗药。
况且,很多作用的验证研究只是在细胞层面或动物实验阶段,对人体是否有同样的作用还需要进一步验证。
很多商家以“辅酶Q10是药品,质量更有保证”为噱头,虚假宣传、夸大作用,让辅酶Q10走上了无所不能的神坛。我们需要理性看待,不必过分信赖保健品,作用虽有,但大多是辅助性的。

氧化型和还原型哪个是更好的辅酶Q10形式?
辅酶Q10有两种化学状态:完全氧化态(泛醌)和完全还原态(泛醇),此外还有一种中间态(泛半醌自由基)。在体内究竟哪种状态的辅酶Q10才起作用?

两种状态的辅酶Q10的关系?
还原型辅酶Q10(泛醇)通过氧化过程(脱去两个氢原子),就变成了氧化型辅酶Q10。氧化型辅酶Q10(泛醌)通过还原过程(加上两个氢原子),就变成了还原型辅酶Q10。
两种状态的辅酶Q10在体内可相互转化,在转化过程中可实现电子传递,电子传递的结果可在线粒体内膜外形成质子浓度差,从而驱动线粒体生成能量。还原型和氧化型在细胞能量产生过程中的作用是对等的,无论缺乏谁,细胞能量的生成都会受到影响。

辅酶Q10的几种状态

商家套路1:
氧化型辅酶Q10(泛醌)进入人体后,人体首先会将其转化成还原型(泛醇),才能为人体所用。
真的是这样吗?来看看辅酶Q10在人体吸收过程中的存在形式:
研究辅酶Q10的资深教授发表的研究结果显示,当受试者服用还原型辅酶Q10后,在消化道不同位置存在的还原型与氧化型辅酶Q10的比例,从胃部到小肠再到小肠后端,还原型辅酶比例先减少,后上升,最后到血浆中维持不变。
结论:人体服用还原型辅酶Q10后,在小肠吸收前几乎全部转变为氧化型,也就是氧化型辅酶Q10是机体吸收辅酶Q10的主要形式。在小肠吸收之后,机体中氧化型辅酶Q10转变成还原型。

科学反套路:机体确实可以将还原型辅酶Q10转化成氧化型,但并不意味着还原型更有效,氧化型辅酶Q10才是机体吸收的主要形式,即使吃了还原型也会先变成氧化型。

商家套路2:
还原型辅酶Q10(泛醇)具有抗氧化作用,而氧化型(泛醌)不具备。
科学反套路:的确只有还原型辅酶Q10才能发挥抗氧化作用,但是在体内还原型与氧化型可相互转化,二者的比例被机体严格控制,并非还原型比例越高越好,还原型本身不够稳定,在体内是先以氧化型的形式吸收后,再转化为还原型。

商家套路3:
人体内辅酶Q10的主要存在形式是还原型,只有还原型才具有活性。
科学反套路:人体中主要存在的辅酶Q10是还原型的,但是都是以氧化型的形式吸收后,再转化为还原型的,什么成分含量多就说具有活性,这种说法显然是不成立的。
辅酶Q10的主要作用是为机体提供能量,能量来自于辅酶Q10的电子传递(氧化还原反应),表现出来的活性是二者共同的作用。

商家套路4:
所有的临床试验都显示,还原型辅酶Q10(泛醇)较氧化型(泛醌)更容易被人体吸收。
科学反套路:决定或影响药物吸收度及生物利用度的因素主要有三个因素:水溶性、肠道渗透性(取决于分子量、结构和电荷)、首过效应(与分子结构有关)。
氧化型辅酶Q10(泛醌)和还原型辅酶Q10(泛醇),在上述三个因素中几乎没有差别。无法得出哪种形式更容易被吸收的结论。谣言传多了,也就变成了真相。

关于辅酶Q10可能会关注的一些问题:
(1)辅酶Q10究竟有多难被吸收?
辅酶Q10属于脂溶性的分子,在水中无法溶解,分子量较大(>800Da),在人体中很难吸收。口服辅酶Q10的吸收率仅有2~3%,是否有效还得看剂量和剂型,只有达到一定的作用浓度才会发挥预期的功效。
为了解决吸收率低的问题,一些新的制剂剂型被用于辅酶Q10的递送,比如脂质体、纳米颗粒、纳米胶束、纳米乳剂、固液分散体系等。

(2)外源性辅酶Q10真的有必要补充吗?
人体自身可内源性合成辅酶Q10,也可从食物中摄取。因此对大多数普通人而言,食物和自身合成能够满足身体所需,并不缺乏辅酶Q10。
随着年龄的增长,人体中辅酶Q10的含量会逐渐下降,老年人、患有某些疾病的患者、或服用他汀类药物(调理血脂等)的人,体内的辅酶Q10含量都会下降。
辅酶Q10对某些疾病有辅助治疗作用,但是仅仅是“辅助作用”,并不能代替治疗药物。

(3)为什么辅酶Q10的价格有高有低?越贵的越好吗?
市面上常见的辅酶Q10为氧化型的(泛醌,Ubiquinone),如果没有特别注明的一般都是氧化型。另外一种是还原型辅酶Q10(泛醇,Ubiquinol),还原型辅酶Q10在工业上通过酵母菌发酵生产,技术要求较高,由日本的一家企业垄断。另外,还原型辅酶Q10的化学性质不稳定,导致生产成本偏高。
由于行业中大肆渲染还原型辅酶Q10要好于氧化型,商家利用消费者追求健康的心理,故意哄抬价格,宣称越贵的产品成分越好,不少人心甘情愿地交了智商税。

还原型辅酶Q10(右)是氧化型辅酶(左)

参考文献:
[1] R. Saini, Coenzyme Q10: The essential nutrient. J Pharm Bioallied Sci 3, 466-467 (2011).
[2] S. A. Mortensen et al., The Effect of Coenzyme Q10 on Morbidity and Mortality in Chronic Heart Failure: Results From Q-SYMBIO: A Randomized Double-Blind Trial. JACC: Heart Failure 2, 641-649 (2014).
[3] Shukla S, Dubey KK. CoQ10 a super-vitamin: review on application and biosynthesis. 3 Biotech. 2018;8(5):249. doi:10.1007/s13205-018-1271-6
[4] Mortensen, S. A., et al. (2014). The effect of coenzyme Q10 on morbidity and mortality in chronic heart failure: results from Q-SYMBIO: a randomized double-blind trial. JACC: Heart Failure 2(6): 641-649.

欢迎关注药学专业的@王二博士,不定期分享护肤干货!
我们一贯主张:
高举科学护肤的伟大旗帜,
坚持不盲目跟风的基本方针,
努力贯彻知成分、识机理的基本路线,
实现不踩坑、反套路、轻松护肤的伟大胜利。
欢迎点赞、评论、转发、收藏。
