高等数学不定积分,你学会了吗?第一类换元积分,都讲了些什么?
想必大家对于大学数学中,不定积分的概念,应该不是很陌生吧?

我们首先来看一下,不定积分的概念:
定义:函数f(x)的所有原函数称为f(x)的不定积分,记作∫f(x)dx,如果F(x)是f(x)的一个原函数,那么就有∫f(x)dx=F(x)+C成立。
我们将讲述式子进行拆分,可知每一部分的表述如下。
∫→积分号;f(x)→被积函数;
X→积分变量;f(x)dx→被积表达式;
C→积分常数;
了解完了不定积分的概念,我们来看一下第一类换元积分法到底要怎么运用。
按照一般情况:假设F'(u)=f(u),则∫f(u)du=F(u)+C,且u=φ(x)(可微)。
因为:dF[ φ(x)]=f[φ(x)]φ'(x)dx
所以可得关系式:∫f[φ(x)]φ'(x)dx=F[φ(x)]+C=[ ∫f(u)du ]u=φ(x)
根据上面的过程,可得换元法定理。
这就是我们今天要学习的内容,将复合函数求不定积分用换元法进行求解,这个求解过程称为第一类换元积分法。
接下来,我们来看一下换元定理。
定理:设f(u)具有原函数,u=φ(x)可导,则有换元公式如下:
∫f[φ(x)]φ'(x)dx=[∫f(u)du]u=φ(x)
上述公式就是我们这节课要用到的第一类换元公式《微分法》
注意:在使用这个公式时,关键在于将不定积分进行转化,例如:∫g(x)dx化为∫f[φ(x)]φ'(x)dx
在用第一类换元公式(微分法)转化时,观察的重点不同,那么得到的结论也是不同的。
接下来,我们来看一下例题,以加深理解。
例题一、∫sin2xdx
分析:对于该例题一共有三种解法,第一种解法,我们在求解时,可以采用以上的换元法进行转化,可以另u=2x,那么就可以将式子进行转换,则sin2x=sin u,然后再根据配凑法进行配平即可。凑1/2d(2x)=dx

第二种解法,求解之前,我们将式子进行转换,变成sin2x=2sinx cosx,然后再进行求解,进行凑微分即可求的答案。凑(cosx)dx=d(sinx)

第三种解法,同第二种解法一样,先转换sin2x=2sinx cosx,然后再进行求解,进行凑微分即可求得答案。凑(sinx)dx=-d(cosx)

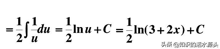
例题二、∫1/(3+2x)dx
分析:这个题目是分子为1,分母为(3+2x)的分数,要想解决这个题目的不定积分,可以将其凑为(lnu)'=1/u的形式。

所以可以先进行凑微分,然后再进行配平,根据凑微分,1/2×d(3+2x)=2×1/2dx

此时就可以得到对数函数求导的基本模型。

一般情况,只要是符合以下情况,都是可以进行找常数的倒数,然后进行配平。

例题三、∫sin²x cos⁵x dx
分析:这是正弦函数和余弦函数相乘,并且是次方形式,当遇到这种情况,被积函数是三角函数相乘时,需要拆分奇次项,然后进行凑微分。此时可得cos⁵xdx=cos⁴ x cosxdx=cos⁴xd(sinx)

凑微分后,大家会发现,既有正弦函数也有余弦函数,此时还是不能直接展开,最好的方法就是将余弦函数变换成正弦函数形式,这要用到三角代换cos² x=1-sin²x,然后用完全平方差公式展开即可(a-b)²=a²-2ab+b²

展开后,大家会发现,这个不定积分可以根据积分的加减法运算法则变换成三部分,这三部分的积分运算,实际上就是幂函数求不定积分的运算过程。

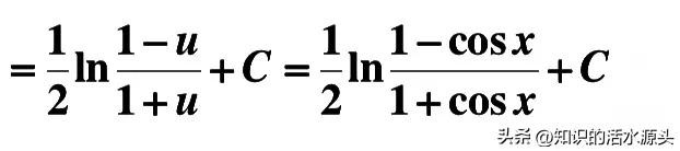
例题四、∫cscxdx
这个题主要是对余割函数求不定积分,在这里大家可以采用代换的方法进行求解,将余割函数代换成正弦函数,cscx sinx=1⇌cscx=1/sinx,然后再进行凑微分即可。

这里凑微分要注意的是,先在分子和分母进行乘正弦函数sinx,凑sinxdx=-d(cosx),然后将被积函数变换sin²x=1-cos²x 。

到这一步就很简单了,我们另u=cosx,将式子裂项1/(1-u²)=1/2×[1/(1-u)+1/(1+u)],裂项后再进行配平即可。

根据上述式子,我们可以将其展开,然后成为两项,这时候再进行凑微分,然后根据对数函数求积的形式进行解答即可。这里要注意一个很重要的关系式ln(1-u)-ln(1+u)=ln(1-u/1+u)。

夯实基础,练习达标:根据提示,大家试一试以下题目应该怎么做。

大家下去过后,可以尝试解答一下这些练习题,有不明白的留言讨论。